Last Updated: January 10, 2025
Clients often ask, “How do we get every customer to take our survey?” But here’s the counterintuitive truth: you don’t need everyone’s feedback to get the real picture, which is why today I am addressing how to calculate sample size.
Sampling is the art and science of choosing the right slice of data – a smaller, manageable piece that mirrors the whole.
It’s quick, it’s cost-effective, and it’s grounded in statistical science.
Master how to calculate sample size, and you unlock insights that resonate across your entire customer base. Importantly, sampling saves resources. Even more importantly, sampling builds trust with stakeholders, allowing for confident, data-driven enhancements to the customer experience.
What is Sample Size and Why is It Important?
Sample size is the critical slice of your audience you analyze to understand trends within a larger population. It’s the number of data points or individuals from the target population you study to spot trends and behaviors.
This larger group is your population. In other words, sample size is the subset of your audience you gather data from to understand trends and behaviors.
But why does it matter?
The answer is because the right sample size is your safeguard against misleading data. Too small a sample, and you’re amplifying the noise of a few, muddling your decision-making. Too large a sample is wasteful and could miss the forest for the trees.

As an example, imagine you’re taste-testing a soup for a crowd of 1500 people. You don’t need to sample 1500 spoonfuls to know if your soup is seasoned correctly. You only need to taste one.
Choosing the right sample size gives you reliable data that reflects your entire customer base. Without the right sample size, you risk drawing conclusions based on incomplete or biased data.
For CX programs, this could mean missing out on insights that help improve customer satisfaction, loyalty, and overall experience.
How To Calculate Sample Size (The Easy Way)
Behind the curtain of sample size calculation lurks some intricate math, but the process itself can be disarmingly simple. This is where the Sample Size Calculator from Interaction Metrics comes into play.
Using our Sample Size Calculator is a treasure for CX teams. Using it is like having a magic wand for your customer survey team.
Simply input your population size, your margin of error, your confidence level, and voilà – the calculator does the heavy lifting. It tells you exactly how many responses you need for meaningful results.
For most CX endeavors, a 5% margin of error strikes the right balance between precision and practicality – it provides enough accuracy for reliable insights without demanding an excessive sample size.
But if you’re after pinpoint accuracy, drop it to 2%. And if you need just a general direction? An 8-10% margin might do the trick.
Key Factors When Calculating Sample Size
Unraveling the right sample size for your CX team hinges on a few pivotal factors that, when combined, yield data that’s both accurate and actionable.
Population Size
This is the total count of souls in your study group – whether it’s your whole customer base or a niche segment.
Imagine you’re surveying in a city of 50,000. If everyone there is relevant to your study, that’s your population. But zoom in further, and you can divide your populations into subsets broken down by gender, age, or education level.
Grasping this number is your first step toward calculating your sample size.

But here’s the twist: as your population balloons, the sample size doesn’t balloon with it. Instead, it levels off.
For a population of a million, you might only need around 400 responses for a 5% margin of error. But in smaller groups, the need for responses grows faster.
Imagine polling a small classroom versus a massive stadium. In the classroom, you might need to ask almost everyone to create a clear picture. But in the stadium, a mere few hundred can give you an accurate sense of the crowd’s pulse.
Margin of Error
Margin of error is your compass for how far your findings might drift from your population’s reality.
A 5% margin means your results could be off by 5% either way – this is the ‘sample error,’ the inherent uncertainty that exists when you’re not surveying everyone.
For most CX explorations, a 5% margin strikes a balance between precision and practicality.
But when the stakes are high, as above, you might tighten this to 2% for razor-sharp accuracy. Conversely, if you’re just seeking the general direction of the wind, an 8-10% margin can still guide you without demanding perfection.
Confidence Level
The confidence level tells you how certain you can be that your sample mirrors the true population within a given confidence interval.
A 95% confidence level (the gold standard) suggests that in 20 tries, 19 times your results will ring true within your margin.
When the stakes are sky-high, you might opt for a 99% confidence level, though this demands more data.
On the other hand, a 90% confidence level might suffice if you’re after quicker, less crucial insights.
Expected Variance
Variance measures the uniformity within your spread of responses. It’s closely knit with standard deviation and shows how far and wide your data points roam.
Anticipate a wide range of opinions? Then, a larger sample is your ally for capturing the true spectrum of views.
But with straightforward yes/no questions, like “Would you recommend us?”, the variance is often limited, meaning you can get by with fewer voices to still hear the chorus clearly.
Real-Life Applications of Sampling in CX
In diverse industries like retail, healthcare, and SaaS, the magic number of your sample size can be the key to unlocking actionable insights.
Picture a retail brand with 10,000 customers eager to test the waters with a new product. Rather than casting a net over everyone, they pinpoint the minimum sample size needed for a perfect sample. With feedback from just a few hundred, they glean enough to tweak their marketing and product strategy, saving both time and energy.
The right sample size in healthcare is more than useful; it’s critical. It allows for gathering feedback that’s both practical and statistically sound without overburdening staff or patients. From this select group, patterns in patient satisfaction emerge, spotlighting care gaps that demand urgent action.
The examples below illustrate the fact that sampling isn’t just about numbers; it’s about making informed decisions with precision and care.
Case Study 1: Increasing Response Rates with Personalization
In one case, a manufacturer struggling with low survey response rates couldn’t draw meaningful conclusions about customer satisfaction.
Without enough responses to reach statistical significance, their results weren’t reliable—they were simply guesswork. This meant they couldn’t confidently identify the right actions to take or make meaningful improvements to customer satisfaction.
Interaction Metrics stepped in and helped them develop a targeted strategy. Using Cialdini’s persuasion principles, we implemented personalized emails, survey incentives, and a compelling postscript statement.
These proven techniques enabled us to boost the response rate and allowed us to collect statistically valid results. In turn, this gave our client the insights they needed to address customer concerns and improve satisfaction.
Case Study 2: Identifying Gaps with NPS Subpopulations
Another manufacturer faced a different challenge: significant variations in Net Promoter Scores (NPS) between distinct customer subpopulations. Said differently, they weren’t hearing from enough respondents in each group to draw valid comparisons.
To put this problem in more concrete terms, imagine a manufacturer that serves both wholesale buyers and individual consumers. If they only heard from 100 wholesale buyers but just 3 individual consumers, the data would skew toward the wholesale experience. This imbalance would make it seem like satisfaction was high across the board, even if individual consumers were deeply dissatisfied.
This is the type of scenario the manufacturer was facing.
When they came to Interaction Metrics to improve their response rates, we used methods like personalized outreach and strategically designed survey incentives to help them achieve their goals.
This approach allowed us to gather enough responses from each subpopulation to avoid skewed results.
The improved data revealed a 40-point NPS gap between subpopulations, highlighting dissatisfaction among a specific group.
With this insight, the manufacturer took targeted actions to improve experiences for the lower-scoring group. Ultimately, this led to increased overall satisfaction and stronger customer loyalty.
These examples demonstrate how calculating the right sample size empowers CX teams to act with precision. Whether you are refining NPS, analyzing survey answers, or looking at open-ended feedback, sample size helps you make meaningful improvements for customers.

Sampling and Statistical Significance
With a larger sample size, you’re more likely to spot significant results in your statistical tests. Statistical significance generally indicates your findings are genuine reflections of the true population parameter.
Imagine two customer groups where a small sample might miss the difference in satisfaction. But a larger sample? It’s like turning up the light, revealing nuances that guide better decisions.
What makes a difference meaningful?
- Statistical Significance: Indicates that what you’ve observed isn’t due to chance alone. However, statistical significance alone doesn’t mean the difference is practically important.
- Practical Relevance: Consider if the difference impacts decision-making. For example, a 1-point increase in customer satisfaction might not matter if it doesn’t influence loyalty or revenue.
- Effect Size: This measures the magnitude of the difference to help you assess whether something is worth acting upon. For instance, a 10% improvement in Net Promoter Score (NPS) is often more impactful than a 1% change.
- Stakeholder Context: Determine if the difference aligns with stakeholder expectations or goals. If stakeholders value small improvements, even minor differences might be meaningful in that context.
It’s true that larger samples require more effort upfront. However, the insights they yield are invaluable because they often provide a true reflection of your entire population.
Methods and Tips for Simplified Sampling
Sampling provides a shortcut that lets you gather reliable data without analyzing your entire population. The method you choose depends on your research project, population size, and available resources. Here’s an overview of the three most common sampling methods and how CX teams can use them to gain insights quickly.
Simple Random Sampling
In simple random sampling, every individual in your population has an equal chance of being selected. For instance, you can use a random number generator to pick participants from a customer list. This method is straightforward and works well for relatively uniform populations where subgroups don’t need special attention.
Stratified Sampling
Stratified sampling divides your population into subgroups based on shared characteristics, such as age or location. Then, you sample proportionally from each group to ensure a balanced representation. This approach is great when comparing feedback across different customer segments. It’s also ideal when using control groups to measure the impact of specific interventions or strategies.
Systematic Sampling
Systematic sampling selects participants at regular intervals from a list. For example, you might pick every 10th customer after starting at a random point. This method works well for ordered data, such as customer databases, as long as no hidden patterns exist.
Tips for CX Teams: Choosing the Right Sampling Method
- Match the Method to Your Goals: If you need to compare specific groups, stratified sampling provides balanced insights. For general trends, simple random sampling often works best.
- Work Within Your Resources: Systematic sampling is perfect when time or budget is tight, especially for large populations.
- Avoid Bias: Whichever method you choose, make sure it doesn’t exclude or overrepresent certain groups. Balanced sampling leads to more accurate CX decisions.

Constraints and Challenges in Sampling
Sample size determination isn’t always straightforward. Constraints like time, budget, and population complexity can make the process difficult.
For CX teams, it’s understanding these barriers and practical trade-offs is the key to overcoming them without overextending resources.
Time Constraints
Tight deadlines are one of the most common obstacles when gathering data. Larger sample sizes take longer to recruit, survey, and analyze. This may be a problem if you’re working with limited time.
Solution: Adjust your margin of error or confidence level. If you’re aiming for a 95% confidence level but need results quickly, lowering it to 90% can reduce the sample size you need. This kind of trade-off speeds up data collection but still provides meaningful information.
Budget Constraints
Collecting data can be expensive, especially for larger sample sizes. The costs of survey distribution, participant incentives, and data analysis add up quickly, which makes balancing precision and affordability a must.
Solution: Use your available resources strategically. If your budget is tight, think about raising your margin of error. Or use a cheaper method, like systematic sampling. Focus on the most critical subgroups if you’re working with a diverse population.
Population Size
Small or hard-to-reach populations come with their own unique challenges. If your target audience includes niche customer segments or individuals in remote areas, collecting enough responses to achieve statistical significance can be difficult.
Solution: Use stratified sampling to represent key subgroups, even with a smaller overall sample. Also consider alternative methods, such as conducting qualitative interviews or using focus groups to supplement your data.
Communicating Trade-Offs with Stakeholders
When constraints limit your ability to gather a large sample, it’s important to communicate these adjustments clearly to stakeholders. Explain how changes to confidence levels or margins of error still deliver insights, but emphasize how they respect time and budget limits. Transparency builds trust and ensures alignment on expectations.
Common Biases to Avoid When Sampling
Bias can distort your data collection process, leading to misleading conclusions—even when your sample size seems correct. Poor sampling methods can produce skewed findings that undermine your CX efforts. Let’s look at common types of biases and their impact.
But first, an example.
Imagine your population is candy. It consists of 500 red M&M’s and 500 blue M&M’s.
If your sample includes only eight red M&M’s and 270 blue ones, the results are biased. Although it’s tempting to conclude that most M&M’s are blue, they’re simply overrepresented. They don’t actually represent the whole population. In reality, the population is a more even split.
Selection Bias
This occurs when certain segments of your population are excluded or overrepresented. It can take place when surveying only online shoppers while ignoring in-store customers. This skews the data and misrepresents the full customer experience.
How to Avoid It: Use random or stratified sampling to be sure all groups have an equal chance of representation.
Convenience Bias
Convenience bias happens when participants are chosen based on ease of access rather than relevance. For example, when only surveying customers who respond first. This can lead to an incomplete or unbalanced view.
How to Avoid It: Plan your sampling strategy to reflect your entire population, not just the easiest to reach.
Nonresponse Bias
Nonresponse bias arises when many target participants don’t respond. As an example, imagine you send out a survey, but only hear back from highly satisfied customers. This excludes important feedback from less satisfied customers that are just as important.
How to Avoid It: Use personalized outreach, incentives, and short surveys to encourage higher response rates.
Unchecked bias can skew survey feedback and lead to misinformed decisions in CX programs. Identifying and addressing bias helps to be sure your insights are accurate and actionable.
The Summary: Best Practices When Determining Sample Size
Determining the right sample size requires balancing market research goals with practical constraints. Here are some actionable tips to deliver reliable results while keeping the process efficient:
- Define Your Research Goal: Be clear about what you want to achieve. Are you looking for general trends, or do you need to compare specific groups? Your goal will guide how precise your results need to be.
- Work Within Real-World Constraints: If time or budget is tight, adjust your confidence level or margin of error to reduce the required sample size. Focus resources on the most critical subgroups of your population.
- Use Established Guidelines and Tools: Sample size calculators are invaluable for simplifying the process. Aim for a 95% confidence level and a 5% margin of error as a starting point for most projects.
- Conduct a Pilot Study: If you’re unsure about response rates or variability, start small. A pilot study can help refine your approach and improve the statistical power and accuracy of your final sample size calculation.
Click here to learn more about best practices when conducting email surveys.

Small Samples Can Lead to Big Results
When managing thousands of customer comments, analyzing every piece of feedback can feel overwhelming. The good news is that you don’t have to.
With the right sampling methods, a small, well-chosen subset (fewer than 400 comments) can provide insights that represent your entire population.
Use the sample size calculator to determine how many responses you need, then apply the methods discussed to gather reliable, actionable insights.
If you have questions or need guidance, Interaction Metrics is here to help. Contact us today to share your Customer Experience goals and learn more about how our team can help you achieve them.
Sample Size FAQ
How Do You Find Sample Size?
The easiest way is to use a calculator. Or you can use this formula to calculate it manually – but we strongly, strongly recommend using the calculator instead.
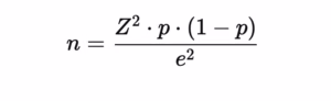
What is the Sample Size Formula?
The formula for calculating sample size is:

Where:
- n = Sample size (the number of responses needed)
- Z = Z-score, corresponding to your desired confidence level (e.g., 1.96 for 95%)
- p = Estimated population proportion (also called the sample proportion; use 0.5 if unknown)
- e = Margin of error, expressed as a decimal (e.g., 0.05 for 5%)
This formula gives you the minimum sample size required to ensure your sample estimate is accurate and representative of the population. However, for CX teams, performing a manual sample size estimation can be time-consuming and prone to error.
Practical Tip: Instead of using this formula manually, rely on a sample size calculator. It simplifies the process to help you quickly determine survey requirements and focus on delivering actionable insights. Whether you’re collecting feedback for customer satisfaction or analyzing survey trends, using a calculator ensures your decisions are both efficient and data-driven.
==================================
Let’s discuss sampling for your customer surveys.
==================================